拍品介绍中列出了瑕疵及重大情况说明:
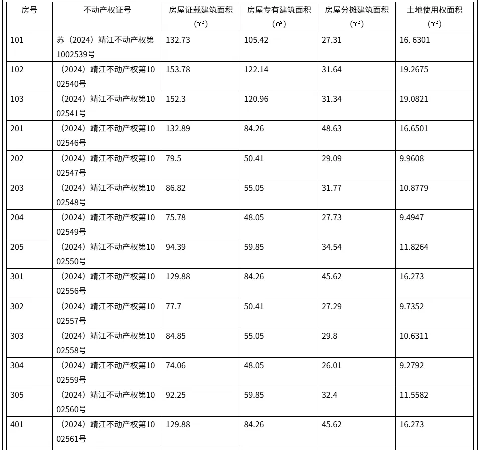
1、拍卖范围为:靖江市工农路256号兰园雅居17号楼101-103、201-205、301-305、401-405、501-505、601-605、701-705、801-805的房屋、占有范围内的土地使用权、不可移动的装饰装修及101、201室内可移动物品。
2、本次拍卖房屋已清空,标的转让登记手续由买受人自行办理,所涉及的一切税、费按照相关法律规定由相应的税费负担主体承担,被执行人应承担的税费由买受人先行垫付,然后从拍卖款中支付,若因买受人自身原因导致税费垫付之日起十个工作日内未持有效支付凭证至本院申报退款,则该费用全部由买受人自行承担;若因房屋存在违建、扩建等情况导致无法过户,相应法律后果全部由买受人自行承担;该处房屋可能存在水、电、燃气、物业等欠费情形,相关费用由买受人承担,请竞买人注意。
3、房地产过户过程中税费标准请自行与税务部门联系咨询确认(以税务部门答复意见为准)。本院不提供任何销售发票、增值税发票。
4、户口迁入迁出等问题,请买受人自行至相关部门咨询。本院不负责处理户口迁入迁出及学位问题。地图标注位置仅供参考,具体位置以标的物实际为准。
5、因公告及图片内容无法完全展示拍卖标的物,请竞买人尽量自行现场查看,如未现场查看,导致竞买人对标的产生误解,买受人自行承担法律后果。

据靖江市人民法院的执行裁定书中显示:被执行人江苏**家置业有限公司因金融借款合同纠纷一案中未履行相关义务,遂其名下的该处房屋被上架拍卖。