分析数据说明:万科东荟城数据时间范围2020-01至2026-01、原始数据量623条、有效数据量612条、数据有效率98.2%、时间跨度73个月、平均月成交量8.38套;保利罗兰国际数据时间范围2020-01至2026-02、原始数据量288条、有效数据量288条、数据有效率100.0%、时间跨度74个月、平均月成交量3.89套。
二、分析主要结论
本报告对万科东荟城与保利罗兰国际两个小区的二手房市场表现及客户偏好进行了系统性对比分析。数据显示,
(1)两小区均经历显著价格回调,其中万科东荟城累计跌幅达48.42%,高于保利罗兰国际的34.97%,后者展现出更强的价格抗跌性。
(2)在流动性方面,万科东荟城总成交量(612套)和年化换手率(1.4%)均优于保利罗兰国际(288套,1.1%),显示其市场活跃度更高。
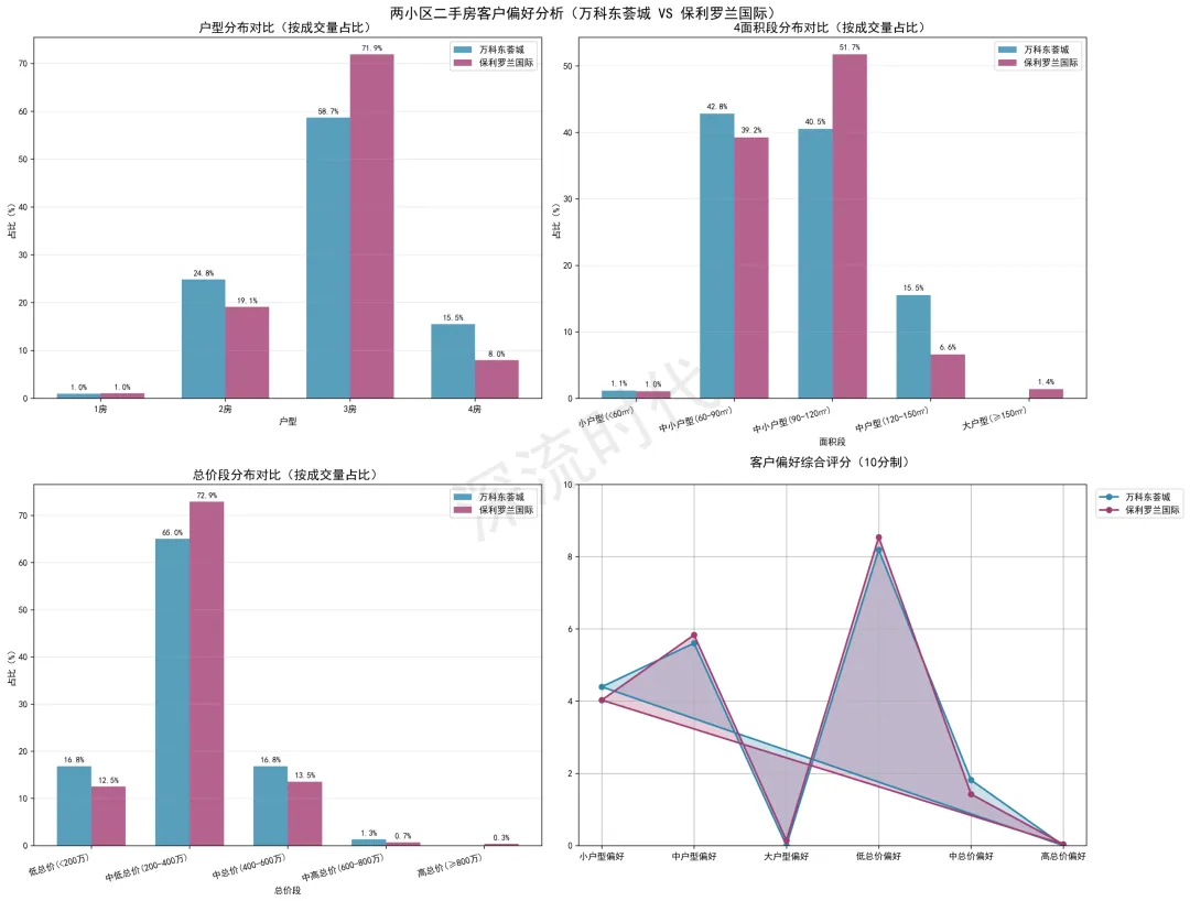
(3)客户偏好上,两者均以三房为主力成交户型(占比分别达58.7%和71.9%),但保利罗兰国际更聚焦于90–120㎡中小户型(占比51.7%),而万科东荟城户型分布更为多元;
(4)总价层面,两小区均集中于200–400万元中低总价段,但万科东荟城在400万元以上产品成交占比略高。
综合来看,保利罗兰国际在价格稳定性上占优,而万科东荟城则在交易活跃度与产品多样性方面更具优势。
1. 二手房市场分析(月度成交均价、涨跌幅、成交量、整体市场表现)
2.客户偏好分析(户型分析、面积分析、总价段分析、客户偏好综合)

三、具体数据展示
1.市场数据对比
2.户型分布对比
3.面积段分布对比
4.总价段分布对比